0
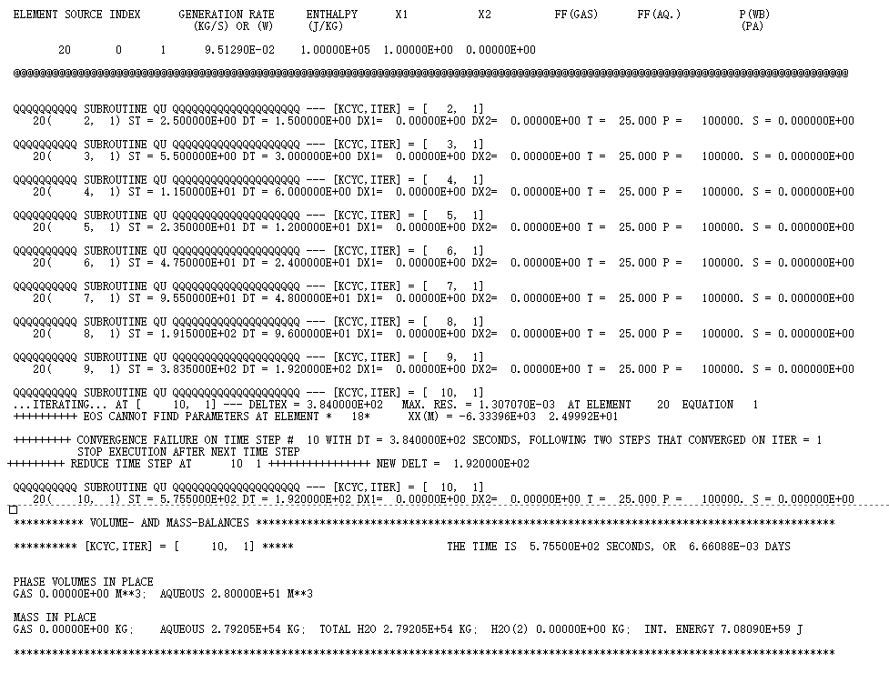
low injection rate can induce the EOS CANNOT FIND PARAMETERS?
Hi,everyone
I want to simulate the dissolution and precipitation induced by meteoric water injection (toughreact332_EOS1).
I set injection rate 9.5129E-02 kg/s during 2Ma, but it stopped very early (before TIMAX). The iter.file showed "simulation finished" and flow.out file reminded this error "EOS CANNOT FIND PARAMETER".
I tried to decrease the NDLT for better convergence, but it did not work.
Could anyone can provide some suggestions for this error?
iter.out

flow.out

Best regrds
